2011年4月高等教育自学考试全国统一命题考试教育统计与测量(00452)试题和答案
编辑整理: 贵州自考网 发表时间: 2023-02-06 【大 中 小】 点击数:
2011年4月高等教育自学考试全国统一命题考试
教育统计与测量 试题和答案
(课程代码:00452 考试时间=150分钟)
注意事项:
答案必须写在答题卡规定的区域内,未按要求作答的答案无效。
一、 单项选择题(本大题共15小题,每小题2分,共30分)
在每小题列出的四个备选项中只有一个是符合题目要求的,请将其选出并将答题卡的相应代码涂黑。错涂、多涂或未涂均无分。
1. 下列哪些学科与数理统计相交叉结合产生教育统计学 B 绪论-4
A.教育学、生理学
B.教育学、心理学
C.社会学、教育学
D.生理学、心理学
2.下列关于教育统计与教育测量的关系,叙述正确的是 C 绪论-5
A. 教育统计与教育测量相互独立
B.教育统计是教育测量的基础
C.教育统计在教育测量提供的数据的基础上进行
D.教育统计为教育测量提供数据
3.下列属于比率变量的是D绪论-7
A.人的血型
B.五级记分制
C.气温
D.身高
4.在统计分析图中,圆形图通常用于描述D 1-36
A.二元变量的观测数据
B.某种事物在时间序列上的变化趋势
C.离散性变量的统计事项
D.具有百分比结构的分类数据
5.假设某小学生语文平时、期中、期末的成绩分别为95、80、86,平时、期中、期末权重按2:3:5分配,那么该生语文总平均成绩为B 2-45
A.85
B.86
C.87
D.88
6.题6图这个相关散点图表示A3-69
A.相关很高,是正相关
B.相关很高,是负相关
C.相关很低,是正相关
D.相关很低,是负相关

7.下列叙述正确的是B4-88
A.同一被试不同测验上的原始分数可以比较
B.同一被试不同测验上的原始分数不可以比较
C.不同年龄组间的离差智商值不可以比较
D.同一被试不同测验上的标准分数不可以比较
8.布卢姆认知领域分类中衡量个体根据一定的标准对事物的价值作出合乎逻辑的判断的行为目标属于A6-161
A.评价
B.综合
C.分析
D.领会
9.韦克斯勒智力测验属于B 6-180
A.限时测验和典型作为测验
B.限时测验和最高成就测验
C.非限时测验和典型作为测验
D.非限时测验和最高成就测验
10.在某英语测验中,一位学生的成绩为59分,若该测验的测量标准误为2.68,那么该生的真分数可能是C 7-227
A.55.5
B.56
C. 60
D.62
11.标准化成就测验是C 6-158
A.形成性测验
B.终结性测验
C.既可以是标准参照成就测验也可以是常模参照成就测验
D.既不是标准参照成就测验也不是常模参照成就测验
12.某市有小学200所,要在该市小学生中抽取一个容量为80的随机样本,考虑到小学生年龄偏低,允许一所小学抽取2个学生,应采用 .C 7-221
A.随机抽样 B.分层抽样 C.分阶段抽样 D.等距抽样
13.原总体非正态,总体方差未知,且样本容量n≥30的平均数抽样分布为D 7-231
A.F分布 B.t分布 C.x2分布 D.正态分布
14.关于统计假设检验,下列说法正确的是A 8-237
A.使用反值法
B.最终结论一定是推翻原假设
C.若虚无假设被推翻,则整个检验过程不成立
D.它所依据的是小概率事件有可能发生的原理
15.若要比较两个或两个以上独立总体方差差异显著性检验,应采用A 8-256
A.F检验 B.t检验 C.x2检验 D.Z检验
二、名词解释题(本大题共4小题,每小题3分,共12分)
16.标准分数4-103
答:
标准分数,就是以它所属分数组的标准差为单位的,对它所属分数组的半均数的距离。
17.常模参照测验6-153
答:
常模参照测验实是参照着常模使用相对位置来描述测验成绩水平的一种测验。
18.命题双向细目表6-159
答:
命题双向细目表是一个关于考试内容和考查目标的双向列联表,它是关于一门课程教学内容和掌握层次两个维度下的一种考试命题抽样方案,因而成为命题人员着手命题、审题、制卷乃至作效度验证时进行工作的一个根本依据。
19.测验信度5-129
答:
测验信度,就是测验在测量它所测特质时得到的分数(测值)的一致性,它是对测验控制误差能力的量度,是反映测验性能的一个重要的质量指标。
三、简答题(本大题共3小题,每小题6分,共18分)
20.简述集中量数的作用。2-40
答:
(1)第一,向人们提供整个分布中多数数据的集结点位置;
(2)第二,集中反映一批数据在整体上的数量大小;
(3)第三,是一批数据的典型代表值。
21.简述相对评分和绝对评分的涵义,并举例说明。4-89
答:
(1)可以确定原始分数意义的参照物大体有两类,一是其他被试的测值,即其他被试在所测特性上的普遍水平或水平分布状态;二是社会在所测特性上的客观要求,即被试在所测特性上发展应该达到程度的标准。
(2)当拿被试在测验上的测值去跟其他被试的普遍水平或水平分布作比较时,其意义就取决于其他被试水平的高低了。其他被试水平都低,他就高;其他被试水平都高,他就低;或者他恰好相当于中等的一般水平,既不高也不低。分数的意义就在这种相互比较的过程中确定下来、显露出来。这种通过被试间相互比较而确定意义的分数就叫相对评分分数。当我们平常说,某少年语文成绩不错, “在全年级是冒尖的”,或说某四年级学生数学成绩太差,“在全班处于倒数第二”,就都是在进行相对评价的例子。
(3)但教育工作是一种有组织有目的的活动,要努力追求教育目标的达成。所以,在学校里拿被试在测试上的测值,去跟所测特性的应有标准作比较的事是很多的。很显然,这时测验分数的意义,就完全取决于实得测值与应有标准的关系了。如果达到了要求,就是“合格”的或“已达标”的;如果未达到要求,就是“不合格”或“未达标”的。这里,全然不管其他被试在同一测验上所得测值如何,他们达标与否丝毫不影响该被试测验分数意义的确定。这种通过拿被试测值跟应有标准作比较来确定其意义的分数,就叫绝对评分分数。
22.简述方差分析的条件。10-300
答:
(1)总离均差平方和的可分解性
(2)总体正态性
(3)样本随机性
(4)方差齐次
四、计算题(本大题共3题,每小题6,共18分)
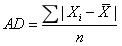
23.已知一组数据{20、40、15、25、10},求这组数据的平均数、平均差和标准差。(保留2位小数)2-41
答:
(1)
(2) 
(3) 
24.某大学各专业学生分布情况如下表,现要抽取一个100人的随机样本,请问各专业入样人数分别是多少?7-220
专业 | 管理学 | 英语 | 经济贸易 | 化学 | 计算机 | 市场营销 | 合计所有 |
人数 | 85 | 210 | 68 | 120 | 154 | 90 | 727 |
答:
(1)各专业总人数比分别为0.12;0.29;0.09;0.17;0.21;0.12
(2)各专业入样人数分别为12,29,9,17,21,12
25.有12名学生参加一项体育测验,其中4名学生在测验之前曾参加过长跑训练,其余的没参加过长跑训练。他们的测验结果如下表示,试问学生长跑训练与该项体育测验成绩之间是否相关?(”代表曾参加训练的学生,“0”代表未参加训练的学生,S=5.22,保留2位小数)
学生代号 | 01 | 02 | 03 | 04 | 05 | 06 | 07 | 08 | 09 | 10 | 11 | 12 |
练过长跑 | 1 | 0 | 1 | 0 | 0 | 0 | 1 | 0 | 0 | 1 | 0 | 0 |
体育测验 | 27 | 25 | 22 | 20 | 20 | 18 | 18 | 18 | 15 | 12 | 10 | 10 |
(计算公式:rpb=
)
答:
(1)若用p表示参加过长跑训练的学生人数比例,q表示没有参加过长跑训练学生人数比例。
P=0.33,q=0.67
(2)
(3)
从相关系数来看,0.25<0.4,所以学生长袍训练与该项体育成绩相关度低。
五、综合应用题(本大题共10分)
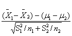
26.随机抽取32位男教师和50名女教师进行某项测验。测得男教师平均分80,标准差8;女教师平均分76,标准差10。试问男、女教师测验成绩有无显著性差异。8-248
(za/2(0.05)=±1.96 公式:z=
)
答:
根据题意,应该采用双侧检验
(1)建立假设
(2)
(3)因为z近似服从正态分布,双侧检验
(4)临界值
为进入危机域
(5)结论,在0.05显著性水平上有充分理由拒绝虚无假设H0,接受被择假设H1, 男女教师测验成绩有显著性差异。
六、论述题(本大题共12分)
27.试述选择题的优点及局限性。6-167
答:
选择题在知识能力测量中的优点是突出的,主要有如下几点:
(1)选择题不仅可以准确地测量简单的学习结果,而且可以测量理解、应用、分析及综合等领域中更为复杂的高级的学习成就。
(2)选择题兼具其他几种客观题型的优点,同时还克服了其他客观题型的-些缺点。如它避免了简答题经常存在的题意不清的缺陷,克服了是非题的简单判断所带来的过高的猜测概率等。
(3)选择题答题方式简便,在单位时间内可以考查更广泛的学习内容范围,提高测验效率。
(4)选择题题型规范,答题方式可以采用专用答题卡和特殊型号的铅笔,因而它适合于考试机器评分,提高了评分的效率与准确性,能有效控制阅卷者的评分误差,确保了评分的客观性。
(5)选择题采用大量似真的诱惑选项,这给教师分析学生的理解错误与学习困难提供易于诊断的线索。
选择题的缺陷主要有如下几点:
(1)选择题只要求学生识别与选择正确答案,因而不大适合测量诸如数学和自然科学领域许多需要解题技巧、展示学生思维过程及特点方面的学习成就。
(2)选择题只要求学生识别与选择正确答案,因而,减少了对学生自己回忆与自己提供正确答案方面的学习要求,这可能会削弱对低年级学生巩固知识以及掌握各学科基本知识方面的要求。例如,
(3)选择题的解题思路要求归一与归真,因此,选择题既不能考查学生组织与表达自己观点的能力,也不能考查学生的思维发散力与创造力。
(4)选择题在编题时,要求的技巧性较高,特别是要考查学生的分析、综合等方面的高级学业成就时,不仅在题目内容取材与表达方面需要精心思考,而且要编出若干个似是而非的、具有同样强的迷惑作用的干扰项,确实需要花费更多的智慧与精力。因而,编制选择题需要专门技能和创造性。

贵州自考网声明:
1、由于各方面情况的调整与变化,本网提供的考试信息仅供参考,考试信息以省考试院及院校官方发布的信息为准。
2、本网信息来源为其他媒体的稿件转载,免费转载出于非商业性学习目的,版权归原作者所有,如有内容与版权问题等请与本站联系。联系邮箱:952056566@qq.com
贵州自考便捷服务
- 微信交流群
- 微信公众号
微信扫一扫加入考生微信群
①学习交流、②考试提醒、③自考解答
④自考资料、⑤新闻通知、⑥备考指导

贵州自考网微信公众号
随时获取贵州省自考政策、通知、公告
以及各类学习微信公众号
- 热点文章
- 常见问题
