贵州2010年7月自学考试教育统计与测量试题和答案(00452)
编辑整理: 贵州自考网 发表时间: 2023-02-06 【大 中 小】 点击数:
贵州2010年7月自学考试教育统计与测量试题和答案
课程代码:00452
一、单项选择题(本大题共15小题,每小题2分,共30分)
在每小题列出的四个备选项中只有一个是符合题目要求的,请将其代码填写在题后的括号内。错选、多选或未选均无分。
1.教育统计是对教育领域中各种现象量的取值,把握与认识的层面是( A )绪论-3
A.总体 B.样本
C.个体 D.局部
2.教育测量学的主要内容不包括( A )绪论-8
A.测验工具编制、施测与评分 B.教育和心理测验的编制和使用
C.测验结果的分析和整理 D.测验常模建立的一般理论和方法
3.体育运动会中表示各项目比赛结果的“第一名”、“第二名”、“第三名”是属于( B )1-14
A.称名变量数据 B.顺序变量数据
C.等距变量数据 D.比率变量数据
4.百分等级是( C )2-63
A.差异量数 B.集中量数
C.地位量数 D.差异系数
5.要定量地描述学生体重与身高这两个变量之间的相关强度与方向,可以使用( A )3-70
A.积差相关 B.等级相关
C.点双列相关 D.列联相关
6.在筛选测验中,决定其项目的难度应该是( D )5-124
A.尽量接近0.50
B.被试的通过率
C.项目的考核要求是否体现应有标准和教学目标
D.划界点(或称决断点)水平
7.用于教育工作中选拔与分流决策的测验是( B )6-153
A.标准参照测验 B.常模参照测验
C.诊断性测验 D.形成性测验
8.教师事先设计便于评价或记录学生操作行为表现的表格的做法,体现了实验技能考核中
遵守的原则是( A )6-156
A.客观化原则 B.全面性原则
C.实践性为主原则 D.个性化原则
9.韦氏儿童智力测验中“图片排列”主要测量( D )6-182
A.视觉与分析图形结构的能力 B.运算推理能力
C.视觉记忆及理解力 D.社会情境理解力和统整综合能力
10.相关系数的取值范围是( C )3-69
A.[-1,-0.5] B.[-0.5,0]
C.[-1,1] D.[0,1]
11.在统计检验中,大样本是指n( C )7-231
A.≥10 B.≥20
C.≥30 D.≥40
12.下面对误差的理解正确的是( A )7-217
A.误差是客观存在的 B.误差是不可以控制的
C.误差是可以避免的 D.误差只在抽样中发生
13.离差智商采用的是( B )4-110
A.百分等级常模 B.标准分数常模
C.年级常模 D.年龄常模
14.关于统计假设检验,下列说法不正确的是( B )8-236
A.使用反证法
B.若虚无假设被推翻,备择假设不成立
C.被推翻的虚无假设的内容可能是正确的
D.依据小概率事件原理
15.对单向方差分析叙述正确的是( C )10-295
A.用于对两个的总体平均数差异做出检验
B.分析多个方向上两个总体平均数间的差异
C.用于比较一个方向差异上两个总体平均数间的差异
D.单向方差分析是方差分析最基础的方法
二、名词解释(本大题共4小题,每小题3分,共12分)
16.标准分数常模4-103
答:
标准分数常模,就是用被试所得测验分数转换成的标准分数来揭示其在常模团体中的相对地位的组内常模。
17.测验效度5-139
答:
测验效度,就是测验实际上测到它打算要测的东西的程度。
18.统计量7-216
答:
应用样本数据计算的各种特征量数我们称其为统计量。
19.单侧检验8-245
答:
单侧检验只在抽样分布的一个尾侧设有临界值,危机域也只有一块,而这一块危机域的概率面积就等于显著性水平a的值。
三、简答题(本大题共3小题,每小题6分,共18分)
20.简述描述统计和推断统计研究的主要问题。绪论-4
答:
(1)描述统计主要研究的问题是,如何把统计调查所获得的数据科学地加以整理、概括和表述。
(2)推断统计更是教育统计的核心内容。它主要研究的问题是,如何利用实际获得的样本数据资料,依据数理统计提供的理论和方法,来对总体的数量特征与关系作出推论判断,即进行统计估计和统计假设检验等。
21.简述口头测验的常用方法。6-155
答:
口头测验通常有如下几种常用的方法:
(1)高声朗读;
(2)教师提问;
(3)在一些题目签中随机抽选加以回答;
(4)按预先设置的问题进行专题发言;
(5)小组讨沦,随意发者;
(6)师生一般会谈;
(7)根据图片或特别设置的情景讲故事;
(8)角色扮演,如课文剧等。
22.简述抽样分布的含义及研究内容。7-225
答:
(1)从一个总体中随机抽取若干个等容量的样本,计算每个样本的某个特征最数,由这些特征量数形成的分布,称为这个特征量数的抽样分布。
(2)研究抽样分布就是要确定不同条件下形成的抽样分布各是什么形态,它们的分布参数如平均数、标准差等又分别是多大。弄清了抽样分布的形态特征,就可利用它从样本数据出发来对总体进行推断。
四、计算题(本大题共3小题,每小题6分,共18分)
23.某中学初一年段3个班数学期末考试各班的人数和平均成绩是:甲班45名学生,平均成绩85分;乙班43名学生,平均成绩80分;丙班42名学生,平均成绩75分。试问全体同学在这次数学期末考试中的总平均成绩是多少分?(保留两位小数)2-45
答:
24.假设某岗位培训结业考试的测验信度系数rxx=0.55,标准差S=9.5,试求该结业考试的测量标准误。某考生成绩78分,其真分数值的区间是多少?(保留两位小数)5-136
答:
真分数值的区间是71.63~84.37
25.某市15名学生参加中学生化学竞赛地区选拔赛,其成绩如下表所示,试问学生的化学成绩与性别的相关程度?(男生为1,女生为0;S=13.53)(保留两位小数)
学生编号 | 01 | 02 | 03 | 04 | 05 | 06 | 07 | 08 | 09 | 10 | 11 | 12 | 13 | 14 | 15 |
性 别 | 1 | 0 | 1 | 0 | 0 | 0 | 1 | 1 | 1 | 1 | 1 | 1 | 1 | 0 | 0 |
化学成绩 | 69 | 44 | 40 | 40 | 23 | 30 | 30 | 43 | 61 | 57 | 48 | 65 | 33 | 60 | 50 |
(计算公式:rpb=
)3-83
答:
(1)若用p表示男生人数比例,q表示女生人数比例。
P=0.6,q=0.4
(2)
(3)
从相关系数来看,0.30<0.4,所以学生的化学成绩与性别的相关程度低。
五、综合应用题(本大题共10分)
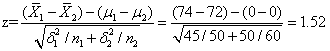
26.随机抽取9岁儿童110名做数学测验,男童50名,平均数为74,方差为45;女童60名,平均数为72,方差为50。试问男童的数学能力是否高于女童?
(
:
,保留两位小数)8-248
答:
根据题意,应该采用双侧检验
(1) 建立假设
(2) 
(3) 因为z近似服从正态分布,双侧检验
(4) 临界值为
进入危机域
(5) 结论,在0.05显著性水平上有没有理由拒绝虚无假设H0,没有充分理由说明男童的数学能力高于女童。
六、论述题(本大题共12分)
27.试述学业成就测验中主观题的优点和不足。6-169
答:
主观题有自己突出的特点和长处,主要是:
(1) 不允许简单猜测,适于考察分析综合能力、组织表达能力以及计算与推论等较为复杂的心智技能;
(2) 提倡自由反应,有利于考察应用能力乃至创造能力;
(3) 可以获得较为丰富的作答反应过程资料,便于分析被试的技能、策略和知识缺陷等;
(4) 内容和形式更为接近教学与实践中的问题情境,被试不陌生、好接受,教师命拟比较方便。
但是,主观题也有明显的不足:
(1) 作答反应费事,有大量的书写任务,造成被试“忙于写而无暇想”,“手指累而头脑松”;
(2) 单位时间中施测的问题量减少,限制了测验内容的覆盖面,不利测验效率的提高;
(3) 允许被试以文字技巧和作答风格来搪塞胡弄主试,靠“模棱两可的词句”与“面面俱到的分析”来赚得高分;
(4) 评分易受阅卷者主观因素的影响。有研究者用同样的作文卷、几何证明题和历史问答题卷请相应学科的不同教师评分,结果三种试卷都是从不及格引接近满分,各种评定都有,证明评分误差十分显著。

贵州自考网声明:
1、由于各方面情况的调整与变化,本网提供的考试信息仅供参考,考试信息以省考试院及院校官方发布的信息为准。
2、本网信息来源为其他媒体的稿件转载,免费转载出于非商业性学习目的,版权归原作者所有,如有内容与版权问题等请与本站联系。联系邮箱:952056566@qq.com
贵州自考便捷服务
- 微信交流群
- 微信公众号
微信扫一扫加入考生微信群
①学习交流、②考试提醒、③自考解答
④自考资料、⑤新闻通知、⑥备考指导

贵州自考网微信公众号
随时获取贵州省自考政策、通知、公告
以及各类学习微信公众号
- 热点文章
- 常见问题
