全国2009年10月高等教育自学考试数据结构导论试
编辑整理: 贵州自考网 发表时间: 2018-05-24 【大 中 小】 点击数:
全国2009年10月高等教育自学考试数据结构导论试题
课程代码:02142
一、单项选择题(本大题共15小题,每小题2分,共30分)
在每小题列出的四个备选项中只有一个是符合题目要求的,请将其代码填写在题后的括号内.错选、多选或未选均无分.
1.在表长为n的顺序表上做插入运算,平均要移动的结点数为( )
A.n/4
B.n/3
C.n/2
D.n
2.顺序表中有19个元素,第一个元素的地址为200,且每个元素占一个字节,则第14个元素的存储地址为( )
A.212
B.213
C.214
D.215
3.由顶点V1,V2,V3构成的图的邻接矩阵为
,则该图中顶点V1的出度为( )
A.0
B.1
C.2
D.3
4.元素的进栈次序为A,B,C,D,E,则退栈中不可能的序列是( )
A.A,B,C,D,E
B.B,C,D,E,A
C.E,A,B,C,D
D.E,D,C,B,A
5.由带权为9,2,5,7的四个叶子结点构造一棵哈夫曼树,该树的带权路径长度为( )
A.23
B.37
C.44
D.46
6.在已知尾指针的单循环链表中,插入一个新结点使之成为首结点,其算法的时间复杂度为( )
A.O(1)
B.O(log2n)
C.O(n)
D.O(n2)
7.已知一个有序表为(13,18,24,35,47,50,62,83,90,115,134),当二分查找值为90的元素时,查找成功时需比较的次数为( )
A.1
B.2
C.3
D.4
8.在查找顺序表各结点概率相等的情况下,顺序按值查找某个元素的算法时间复杂度为( )
A.O(1)
B.O(n)
C.O(
)
D.O(log2n)
9.下列各项键值序列中不是堆的为( )
A.{5,23,16,68,94,72,71,73}
B.{5,16,23,68,94,72,71,73}
C.{5,23,16,73,94,72,71,68}
D.{5,23,16,68,73,71,72,94}
10.在线性表的下列存储结构中进行插入、删除运算,花费时间最多的是( )
A.单链表
B.双链表
C.顺序表
D.单循环链表
11.在栈中进行插入和删除操作的一端称为( )
A.栈顶
B.栈底
C.任意位置
D.指定位置
12.用n个值构造一棵二叉排序树,它的最大高度为( )
A.n/2
B. n
C.
D.llog2n
13.冒泡排序的时间复杂度是( )
A.O(n2)
B.O(nlog2n)
C.O(n)
D.O(log2n)
14.设无向图的邻接表如题14图所示,则该图的边数为( )
题14图
A.4
B.5
C.10
D.20
15.带表头结点链队列的队头和队尾指针分别为front和rear,则判断队空的条件为( )
A.front==rear
B.front!=NULL
C.rear!=NULL
D.front==NULL
二、填空题(本大题共13小题,每小题2分,共26分)
请在每小题的空格中填上正确答案.错填、不填均无分.
16.下列程序段的时间复杂度为________.
i=0;s=0;
while(i<n)
{ i++;
s=s+i;
}
17.数据的逻辑结构被分为集合结构、________、树形结构和图状结构4种.
18.线性表中所含结点的个数称为________.
19.向一个栈顶指针为top的链栈中插入一个新结点*p时,应执行________和top=p操作.
20.设一个顺序栈S,元素s1,s2,s3,s4,s5,s6依次进栈,如果6个元素的退栈顺序为s2,s3,s4,s6,s5,s1,则顺序栈的容量至少为________.
21.若满二叉树的结点数为n,则其高度为________.
22.在一棵具有n个结点的完全二叉树中,从树根起,自上而下、从左到右地给所有结点编号.若编号为i的结点有父结点,那么其父结点的编号为________.
23.深度为k的二叉树,结点数最多有________个.
24.某二叉树的后根遍历为ABKCBPM,则该二叉树的根为________.
25.在一个具有n个顶点的无向图中,顶点的度最大可达________.
26.有向图G的邻接矩阵为A,如果图中存在弧<Vi,Vj>,则A[i][j]的值为________.
27.顺序查找算法的平均查找长度为________.
28.二路归并排序的平均时间复杂度为________.
三、应用题(本大题共5小题,每小题6分,共30分)
29.某通讯电文由A,B,C,D,E,F六个字符编码组成,每个字符编码在电文中出现的次数分别是6,5,9,10,20,1,试画出这六个字符编码所用的哈夫曼树.
30.已知一棵二叉树的顺序存储结构如题30图所示,其中∧表示虚结点,试构造该二叉树.
| A | B | G | C | D | ∧ | H | ∧ | ∧ | E | F |

题31图
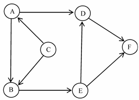
32.写出题32图所示的有向图的邻接矩阵及该图的所有拓扑排序序列.

题32图
33.写出键值(83,40,63,13,84,35,96,57,39,79,61,15)应用二路归并排序算法从小到大排序后各趟的结果.
四、算法设计题(本大题共2小题,每小题7分,共14分)
34.若两棵二叉树B1和B2皆为空,或者皆不空且B1的左、右子树和B2的左、右子树分别相似,则称二叉树B1和B2相似.试编写算法,判别给定两棵二叉树是否相似.
35.设顺序表va中的数据元素递增有序.试编写算法实现将x插入到顺序表的适当位置上,以保持该表的有序性.
本文标签:贵州自考 历年真题 全国2009年10月高等教育自学考试数据结构导论试
转载请注明:文章转载自(http://www.crzkw.cn/)
⊙小编提示:添加【贵州自考网】招生老师微信,即可了解2025年贵州自考政策资讯、自考报名入口、准考证打印入口、成绩查询时间以及领取历年真题资料、个人专属备考方案等相关信息!

(添加“贵州自考网”招生老师微信,在线咨询报名报考等相关问题)

贵州自考网声明:
1、由于各方面情况的调整与变化,本网提供的考试信息仅供参考,考试信息以省考试院及院校官方发布的信息为准。
2、本网信息来源为其他媒体的稿件转载,免费转载出于非商业性学习目的,版权归原作者所有,如有内容与版权问题等请与本站联系。
贵州自考便捷服务
- 微信交流群
- 微信公众号
微信扫一扫加入考生微信群
①学习交流、②考试提醒、③自考解答
④自考资料、⑤新闻通知、⑥备考指导

贵州自考网微信公众号
随时获取贵州省自考政策、通知、公告
以及各类学习微信公众号
- 热点文章
- 常见问题
