贵州2021年4月高等教育自学考试(00452)教育统计与测量试题
编辑整理: 贵州自考网 发表时间: 2023-02-07 【大 中 小】 点击数:
贵州2021年4月高等教育自学考试
教育统计与测量 试题
课程代码:00452
请考生按规定用笔将所有试题的答案涂、写在答题纸上。
选择题部分
一、单项选择题(本大题共15小题,每小题2分,共30分)
在每小题列出的四个备选项中只有一个是符合题目要求的,请将其选出并将“答题纸”的相应代码涂黑。错涂、多涂或未涂均不得分。
1.教育统计学是社会科学中的一门(B)
A.描述统计 B.应用统计
C.数理统计 D.推论统计
2.日常生活或生产中使用的卷尺所测出的长度量值是(D)
A.称名变量数据 B.顺序变量数据
C.等距变量数据 D.比率变量数据
3.适合于表示各统计事项在其总体中所占相应比例的图示方法是(D)
A.散点图 B.线性图
C.条形图 D.圆形图
4.算术平均数的缺点是(D)
A.反应灵敏 B.直观易懂
C.计算严密 D.易受极端值影响
5.与其他差异量数相比,方差和标准差的优点在于(B)
A.易受极端值影响 B.适合进一步的代数运算
C.简单易懂 D.全体数据都参加运算
6.通常|r|<0.2时称为(D)
A.高相关 B.中等相关
C.低相关 D.极低相关
7.下列属于组内常模的是(D)
A.发展常模 B.年级常模
C.年龄常模 D.百分等级常模
8.当测验太容易时,测验总分分布一般呈(B)5-124
A.倒U型 B.负偏态
C.正偏态 D.J型
A.信度 B.难度
C.效度 D.区分度
10.开学后,根据学生入学英语成绩分出快慢班的测验是(A)6-151
A.安置性测验 B.诊断性测验
C.形成性测验 D.终结性测验
11.正态分布转化为标准正态分布后,其平均数和标准差就成为(A)7-212
A.(0,1) B.(1,0)
C.(50,10) D.(10,50)
12.当一个总体比较大且内部结构复杂,而所抽样本容量比较小时,最适宜的抽样方法是(B)7-220
A.整群抽样 B.分层抽样
C.分阶段抽样 D.等距抽样
13.统计假设检验中显著性水平α由0.05变为0.01,则会(C)8-243
A.增加I型错误 B.减少Ⅱ型错误
C.减少I型错误 D.同时减少I型和Ⅱ型错误
14.对计数数据和交叉分类数据进行差异显著性检验最适合的方法是(B)9-265
A.t检验 B.X2检验
C.F检验 D.Z检验
比较两者的离散程度,应使用(D)2-62
A.方差 B.标准差
C.平均差 D.差异系数
非选择题部分
注意事项:
用黑色字迹的签字笔或钢笔将答案写在答题纸上,不能答在试题卷上。
二、名词解释题(本大题共4小题,每小题3分,共12分)
16.标准分数常模4-103
答:标准分数常模就是用被试所得测验分数转换成的标准分数来提示其在常模团体中的相对地位的组内常模。
17.测验信度5-129
答:测验信度,就是测验在测量它所测特质时得到的分数(测值)的一致性,它是对测验控制误差能力的量度,是反映测验性能的一个重要的质量指标。
l8.教育统计0-3
答:教育统计,就是对教育领域各种现象量的取值从总体上的把握上认识。
19.显著性水平8-234
答:在统计假设检验中,公认的小概率事件的概率值被称为统计假设检验的显著性水平。
三、简答题(本大题共3小题,每小题6分,共18分)
20.简述编制简单次数分布表的主要步骤。1-19-20
答:简述编制次数分布表的主要步骤:
(1)求全距
(2)定组数
(3)定组距
(4)写出组限
(5)求组中值
(6)归类划记
(7)登记次数
21.简述等级相关的适用条件。3-76
答:(1)两列观测数据都是顺序变量数据,或其中一列数据是顺序变量数据,另一列数据是连续变量的数据。
(2)两个连续变量的观测数据,其中有一列或两列数据的获得,主要依靠非测量方法进行粗略评估得到。
22.简述方差分析的目的和条件。10-294
答:一、目的
方差分析可同时对多于两个的总体平均数有无显著性差异做出检验。
二、条件
1、总离均差平方和的可分解性
2、总体正态性
3、样本随机性
4、方差齐性
四、计算题(本大题共3小题,每小题6分,共18分)
23.已知某次考试分数的统计数据如下表所示,请根据这份统计表回答下列问题:1-20
(1)位于“75~79”这组的次数是多少?该组的实际组限是什么?
(2)在所有考生中,考分低于74.5的人数及比例各是多少?
(3)如果要录取10%的考生,按1:1划线,你估计这条分数线位于哪一组内?
分数分组 | 次数 | 累积次数 | 累积相对次数 |
90~94 | 2 | 100 | 1.00 |
85~89 | 7 | 98 | 0.98 |
80~84 | 19 | 91 | 0.91 |
75~79 | 36 | 72 | 0.72 |
70~74 | 24 | 36 | 0.36 |
65~69 | 10 | 12 | 0.12 |
60~64 | 2 | 2 | 0.02 |
(2)在所有考生中,考分低于74.5的人数是36人,所占比例为36%
(3)该分组线在“80~84”组中。
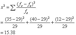
24.某商场随机询问87位顾客对三种不同风味的月饼的喜好程度,结果三种不同风味月饼
的选择人数分别为35、40、12人,试问顾客对月饼的喜好程度是否有显著差异?9-265、270
(df=1,X20.05=3.84;df=2,X20.05=5.99,结果保留到小数点后两位数)
答:(1)假设:H0:三种月饼选择人数上无显著差异(或顾客对月饼的喜好程度无显著差异)
H1:三种月饼选择人数上有显著差异(或顾客对月饼的喜好程度有显著差异)
(2)理论次数fe=29

(3)
,由于实得x2=15.38>5.99,因此拒绝虚无假设,即三种月饼选择人数上有显著差异。
25.某年高考分数服从正态分布,平均分为450分,标准差25分。试问:如果当时高考录取率为2.5%,某生当年高考分数为550分,他能否被录取?(附正态分布表如下:)4-104
正态分布表
Z | Y | P |
1.95 | .05959 | .47441 |
1.96 | .05844 | .47500 |
1.97 | .05730 | .47588 |
1.98 | .05618 | .47615 |
1.99 | .05508 | .47670 |
答:
(1)
(2)P(0<Z<Z0)=0.5-0.025=0.475,查表:Z=1.96
因为4大于1.96,所以仅仅从分数来看,该生可以被录取。
五、综合应用题(本大题共1小题,共10分)
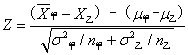
26.设某年高考成绩总体服从正态分布。在甲省抽取了653名考生,得到平均分为67.41分,
且该省总标准差为5.77分;在乙省抽取了686名考生,得到平均分65.95分,该省的总标
准差为5.17分。试问两省在该年考试中平均分是否有显著的差异?(Z0.05/2=±1.96,结
果保留到小数点后两位数)8-251
答:
(1)提出假设:
H0:μ甲=μ乙
H1:μ甲≠μ乙
(2)代入公式:

=
=4.87
(3)结论:
因实得值Z=4.87>Z0.005/2=1.96,即拒绝虚无假设,表明两省在该次考试中平均分有显著差异。
六、论述题(本大题共1小题,共12分)
27.试述常模参照测验和标准参照测验及二者的主要差异。6-154
答:
常模参照测验与标准参照测验要有如下一些差异:
(1)常模参照测验的成绩通常是一种相对评分,采用相对的等级分数、百分等级或标准分数体系,说明的足被试在某一被试团体中的相对地位;而标准参照测验的成绩通常是一种绝对评分,采用卷面分数,或者参照既定标准下的等级评定分数,或者答对题目的百分比;
(2)常模参照测验在设计意图下比较强调对个体能力的区分鉴别,因而在题目的难度方面多为中等而不用偏难与偏易的题目,以增加测验的区别功能与选拔功能;而标准参照测验在设计意图上考虑的是测验内容抽样是否良好地代表一组既定的能力标准或既定的教。
(3)常模参照测验通常涉及挺广泛的、难以明确限定的学习内容与能力目标,对每一项
能力或目标一般只用少量题目加以测量;而标准参照测验相对来讲,测验内容集中在限定的学习任务上,对每一项学习任务或目标通常用较多数量的题目来测量,在许多情况下,测验分数要针对各个具体的目标或能力进行分项解释。

贵州自考网声明:
1、由于各方面情况的调整与变化,本网提供的考试信息仅供参考,考试信息以省考试院及院校官方发布的信息为准。
2、本网信息来源为其他媒体的稿件转载,免费转载出于非商业性学习目的,版权归原作者所有,如有内容与版权问题等请与本站联系。联系邮箱:952056566@qq.com
贵州自考便捷服务
- 微信交流群
- 微信公众号
微信扫一扫加入考生微信群
①学习交流、②考试提醒、③自考解答
④自考资料、⑤新闻通知、⑥备考指导

贵州自考网微信公众号
随时获取贵州省自考政策、通知、公告
以及各类学习微信公众号
- 热点文章
- 常见问题
