2012年4月高等教育贵州自学考试统一命题考试(00452)教育统计与测量试题和答案
编辑整理: 贵州自考网 发表时间: 2023-02-06 【大 中 小】 点击数:
2012年4月高等教育贵州自学考试统一命题考试
教育统计与测量试题和答案
课程代码:00452
一、单项选择题(本大题共15小题,每小题2分,共30分)
在每小题列出的四个备选项中只有一个是符合题目要求的,请将其代码填写在题后的括号内。错选、多选或未选均不得分。
1.教育测量是( A )绪论-5
A.观测个体行为表现,推断其内部心理特征
B.直接测量个体内部心理特征
C.测量个体外在行为表现
D.根据个体心理特征,推断其外在行为表现
2.下列数据中,运算结果只是反映位次顺序关系的是( B )1-15
A.称名变量数据 B.顺序变量数据
C.等距变量数据 D.比率变量数据
3.下列不属于数据的特点的是( B )1-15
A.离散性 B.顺序性
C.变异性 D.规律性
4.某校某班学生的家庭出身统计情况是:农民32%,工人28%,干部30%,其他10%。若要直观描述这组统计数据宜采用( D )1-36
A.散点图 B.线形图
C.条形图 D.圆形图
5.某小学一年级学生平均体重为25千克,标准差为3.7千克,平均身高为110厘米,标准差为6.2厘米,那么该小学一年级学生的体重差异程度与身高差异程度的关系是( B )2-62
A.体重差异程度小于身高差异程度
B.体重差异程度大于身高差异程度
C.体重差异程度等于身高差异程度
D.体重差异程度与身高差异程度无法比较
6.比纳智力测验运用的常模属于( D )4-91
A.百分等级常模 B.标准分数常模
C.年级常模 D.年龄常模
7.下列对误差的理解不正确的是( A )教材中无标准答案
A.误差可以避免 B.误差可以控制
C.误差是客观存在的 D.误差可以分为测量误差和抽样误差
8.高考属于( C )6-153
A.标准参照测验 B.诊断性测验
C.常模参照测验 D.形成性测验
9.选择题的优点是( D )6-167
A.编题要求技巧不高
B.能考查学生思维发散力
C.有助于学生巩固知识
D.能测量理解、应用领域中复杂的高级的学习成就
10.小概率事件是指( A )7-207
A.P<0.05 B.P<0.1
C.P>0.05 D.P>0.1
11.下列不属于发散性思维特征的是( C )6-188
A.流畅性 B.变通性
C.突发性 D.独特性
12.在次数分布表中,若要用代数区间来表示“60~65”,恰当的是( B )1-20
A.[59.5,64.5] B.[59.5,64.5)
C.(59.5,64.5] D.(59.5,64.5)
13.衡量测验工具的正确性的指标是( B )5-139
A.测验难度 B.测验效度
C.测验信度 D.测验区分度
14.对两独立总体大样本的平均数差异的显著性检验应采用( D ) 8-251
A.F检验 B.t检验
C.χ2检验 D.Z检验
15.在统计假设检验中,区分双侧检验与单侧检验的关键在于( C )8-245
A.样本的分布 B.临界值的确定
C.检验的目的 D.总体参数是否已知
二、名词解释题(本大题共4小题,每小题3分,共12分)
16.推断统计绪论-5
是指利用实际获得的样本数据资料,依据数理统计提供的理论和方法,来对总体的数量特征与关系作出推论判断,即进行统计估计和统计假设检验的统计方法。
17.离中趋势2-52
指的是数据具有偏离中心位置的趋势,它反映了一组数据本身的离散程度和变异性程度。
18.抽样分布7-225
从一个总体中随即抽取若干个等容量的样本,计算每个样本的某个特征量数,由这些特征量数形成的分布,称为这个特征量数的抽样分布。
19.I型错误8-243
在统计决策中,将虚无假设属真面被拒绝的错误称为I型错误,又称“拒真”错误。
三、简答题(本大题共3小题,每小题6分,共18分)
20.简述学习教育统计与测量的意义与方法。绪论-8
意义:
(1)它是科学管理的重要手段;
(2)它是教育研究的重要工具;
(3)可锻炼思想方法,掌握专门术语和符号,增强科学素养。
方法:
(1)切实掌握基本概念和原理,弄懂逻辑和方法;
(2)联系实际,认真练习;
(3)重视掌握计算工具。
21.简述建立常模的步骤。4-90
(1)首先,要科学抽样,从清楚而明确地定义的“特定人群”总体中,抽取到容量足够大,并具代表性的被式样组,也称标准化样组或常模组;
(2)其次,要用拟建立常模的测验,采用规范化施测手续与方法对标准化样组(常模组)中的所有被试,施测该测验,以便恰当而准确地收集到所有这些被试在该测验上的实际测值;
(3)最后,对收集到的全部资料进行统计分析处理,真正把握被试样组在该测验上的普遍水平或水平分布状况,实际地建立起该测验常模来。
22.简述终结性测验的概念及主要目的。6-152
概念:
在课程结束或教学大周期结束时,用于确定教学目标达到程度和学生对预期学习结果掌握程度的一类测验,称为终结性测验。
目的:
(1)对学生的学习情况作出全部的检查与总结,并评定一个分数或等级;
(2)评价教师教学的有效性;
(3)预测学生其后学习上的情况。
四、计算题(本大题共3小题,每小题6分,共18分)
23.下表是某市6岁女生的平均身高、体重和8岁女生的平均身高的统计数据。现该市有位6岁女生身高114厘米,体重29千克;有位8岁女生身高135厘米。4-103
试问:(1)这位6岁女生的身高与体重哪一项发育得更好一些?
(2)这位6岁女生与那位8岁女生相比较,谁的身高发育更好一些?
(结果保留2位小数)
![]() | S | |
6岁女生平均身高(厘米) | 110 | 6.2 |
6岁女生平均体重(千克) | 25 | 3.7 |
8岁女生平均身高(厘米) | 125 | 9.7 |

24.有一是非选择测验题,每题采用(0,1)记分,共100题,满分100分。下表是20位学生在该测验中的总成绩及第3题的得分情况。5-126
(1)试求第3题的区分度;(2)该题的区分度强吗?(Sx=8.88,结果保留2位小数)
学生 | 01 | 02 | 03 | 04 | 05 | 06 | 07 | 08 | 09 | 10 | 11 | 12 | 13 | 14 | 15 | 16 | 17 | 18 | 19 | 20 |
总分 | 84 | 82 | 76 | 60 | 72 | 74 | 76 | 84 | 88 | 90 | 78 | 80 | 92 | 94 | 96 | 88 | 90 | 78 | 76 | 74 |
题分 | 1 | 0 | 0 | 0 | 0 | 0 | 0 | 1 | 1 | 1 | 1 | 0 | 1 | 1 | 1 | 1 | 1 | 0 | 0 | 0 |
)
25.假设某次人事选拔考试分数服从正态分布,平均数和标准差分别为75分和10分,现欲选出40%高分者录取,问分数线应当为多少?(z值表附于卷后,结果保留2位小数)4-103

五、综合应用题(本大题共1小题,共10分)
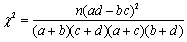
26.下表是某校对毕业生考研的调查数据,试判断学生考研态度与所学专业是否有联系。9-282
(
,df=1,结果保留2位小数)
文科 | 理科 | 小计 | |
考研 | 23 | 17 | 40 |
不考研 | 28 | 22 | 50 |
小计 | 51 | 39 | 90 |
(计算公式:
)

六、论述题(本大题共1小题,共12分)
27.试述统计假设检验中虚无假设和备择假设的关系。8-235
附:正态分布表
(曲线下的面积与纵高)
Z | Y | P | Z | Y | P |
.25 .26 .27 .28 .29 | .38667 .38568 .38466 .38361 .38251 | .9871 .10257 .10642 .11026 .11409 | 1.25 1.26 1.27 1.28 1.29 | .18265 .18037 .17810 .17585 .17360 | .39435 .39617 .39796 .39973 .40147 |
(1)虚无假设和备择假设都是相对比较明确的陈述命题;
(2)虚无假设在假设检验中被视为已知条件;
(3)虚无假设和备择假设是成对作出的,形式上同时出现的,缺一不可;
(4)备择假设是虚无假设的对立假设,从假设内容逻辑关系看,两者彼此相背,非此即彼;
(5)备择假设是虚无假设被拒绝后供采择的假设;故虚无假设一定在前,备择假设一定在后;
(6)虚无假设和备择假设的作出要根据检验的目的来确定。

贵州自考网声明:
1、由于各方面情况的调整与变化,本网提供的考试信息仅供参考,考试信息以省考试院及院校官方发布的信息为准。
2、本网信息来源为其他媒体的稿件转载,免费转载出于非商业性学习目的,版权归原作者所有,如有内容与版权问题等请与本站联系。联系邮箱:952056566@qq.com
贵州自考便捷服务
- 微信交流群
- 微信公众号
微信扫一扫加入考生微信群
①学习交流、②考试提醒、③自考解答
④自考资料、⑤新闻通知、⑥备考指导

贵州自考网微信公众号
随时获取贵州省自考政策、通知、公告
以及各类学习微信公众号
- 热点文章
- 常见问题

